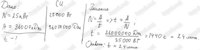
Сколько времени должен работать двигатель мощностью 25 кВт, чтобы совершить работу 36000 кДж?
Пожалуйста, войдите или зарегистрируйтесь для публикации ответа на этот вопрос.
решение вопроса
Связанных вопросов не найдено
Обучайтесь и развивайтесь всесторонне вместе с нами, делитесь знаниями и накопленным опытом, расширяйте границы знаний и ваших умений.
поделиться знаниями или
запомнить страничку
- Все категории
- экономические 43,679
- гуманитарные 33,657
- юридические 17,917
- школьный раздел 612,511
- разное 16,911
Популярное на сайте:
Как быстро выучить стихотворение наизусть? Запоминание стихов является стандартным заданием во многих школах.
Как научится читать по диагонали? Скорость чтения зависит от скорости восприятия каждого отдельного слова в тексте.
Как быстро и эффективно исправить почерк? Люди часто предполагают, что каллиграфия и почерк являются синонимами, но это не так.
Как научится говорить грамотно и правильно? Общение на хорошем, уверенном и естественном русском языке является достижимой целью.
- Обратная связь
- Правила сайта
Проверочная работа в 7 классе на тему «Работа и мощность»
1. Совершает ли работу сила тяжести, действующая на книгу, лежащую на столе?
2. Совершает ли работу сила тяжести, когда тело свободно падает?
3. Два одинаковых по размеру и конструкции корабля развивают разную мощность. С одинаковой ли скоростью будут двигаться эти корабли?
4. Ведро воды из колодца мальчик равномерно поднял один раз за 20 с, а другой — за 30 с. Что можно сказать о мощности при выполнении этих работ?
5. Определите работу, совершаемую при подъеме тела весом 40 Н на высоту 120 см.
6. Какой силой выполнена работа 30 кДж на пути 7,5 м?
7. Определите мощность двигателя, совершающего в течение часа работу 18000 кДж.
8. Какую работу совершает двигатель мощностью 5 кВт за 0,5 ч?
9. Человек равномерно толкает вагонетку массой 700 кг по горизонтальному участку пути длиной 200 м. Какую работу совершает человек, если сила трения составляет 0,06 силы тяжести вагонетки?
10. Какая работа совершается при подъеме гранитной плиты объемом 2 м 3 на высоту 12 м?
11. Сколько времени должен работать насос мощностью 50 кВт, чтобы из шахты глубиной 150 м откачать воду объемом 200 м 3 ?
12. Какую мощность необходимо развить, чтобы сжать пружину на 4 см в течение 5 с, если для сжатия ее на 1 см требуется сила 24,5кН?
Проверочная работа
МЕХАНИЧЕСКАЯ РАБОТА. МОЩНОСТЬ.
1. Совершает ли человек механическую работу, поднимаясь на верхний этаж здания в лифте?
2. Совершает ли ученик механическую работу, если он держит портфель в руке?
3. Мальчик в одном случае прошел 100 м, а в другом — пробежал такое же расстояние. Одинаковые ли мощности он развивал?
4. Кто развивает большую мощность: медленно поднимающийся по лестнице человек или спортсмен той же массы, совершающий прыжок с шестом?
5. Под действием какой силы выполняется работа 200 кДж на пути 0,8 км?
6. Какую работу выполняет двигатель автомобиля на пути 80 м, развивая силу тяги 6,5 кН?
7. Сколько времени должен работать двигатель мощностью 25 кВт, чтобы совершить работу 36000 кДж?
8. Определить мощность машины, которая поднимает молот весом 1,5 кН на высоту 0,8 м за 2 с.
9. Чтобы удалить гвоздь длиной 10 см из бревна, необходимо приложить начальную силу 2 кН. Гвоздь вытащили из бревна. Какую при этом совершили механическую работу?
10. Из колодца глубиной 40 м поднимают ведро с водой массой 14 кг на цепи, масса каждого метра которой равна 1 кг. Какая при этом совершается работа?
11. За какое время подъемник мощностью 10 кВ поднимет груз массой 2 т на высоту 20 м, если груз перемещается равномерно?
12. Автокран, поднимая груз массой 1,5 т, выполнил работу 22,5 кДж. На какую высоту поднят при этом груз?
Сколько времени должен работать двигатель мощностью 25 квт чтобы совершить работу 36000 кдж
Кирик Л.А ФГОС 7 класс онлайн Самостоятельная работа № 18 Средний уровень
1. Определите работу, совершаемую при подъеме тела массой 4 кг на высоту 120 см.

2. Какую работу совершает двигатель мощностью 5 кВт за 0,5 ч?

3. Автокран, поднимая груз массой 1,5 т, совершил работу 22,5 кДж. На какую высоту поднят при этом груз?

4. Сколько времени должен работать двигатель мощностью 25 кВт, чтобы совершить работу 36000 кДж?

5. Под действием какой силы совершается работа 200 кДж на пути 0,8 км?

6. Какую среднюю мощность развивает человек, поднимающий ведро с водой массой 12 кг из колодца глубиной 20 м за 15 с?
Задание № 3. Какую работу совершает двигатель мощностью 100 кВт за 20 мин?


Решебник по физике за 7 класс (А.В.Перышкин, Н.А.Родина, 1998 год),
задача №3
к главе «Раздел III. Взаимодействие тел. §54 Упражнение 37».